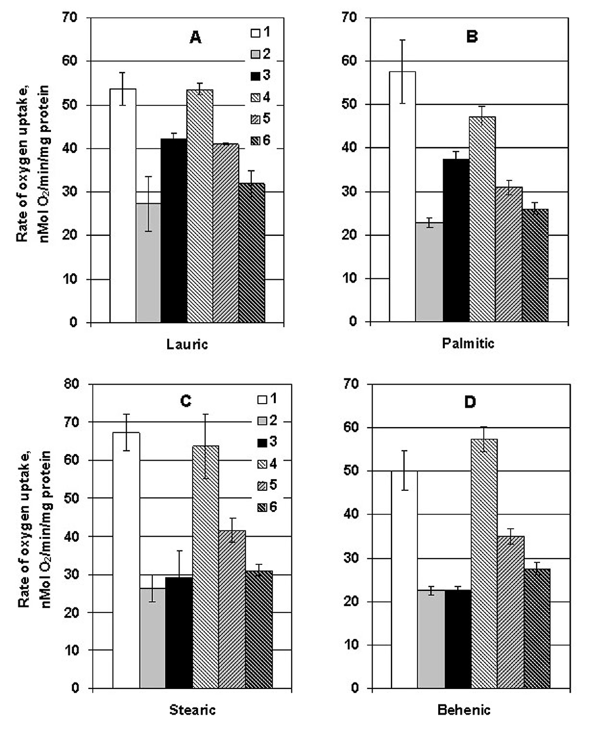
Fig. 4. The influence of saturated fatty acids and carboxyatractyloside
(Catr) on the oxygen uptake by winter wheat mitochondria at first
(1, 2, and 3) and second (4, 5, and 6) cycles of phosphorylation.
Oxidation substrate is 10 mM malate in the presence of 10 mM
glutamate. M + SE, n=3-6. Graph A, 50 mkM lauric acid; B, 10
mkM palmitic acid; C, 5 mkM stearic acid; and D, 5 mkM behenic
acid. Lane 1, state-3 respiration; 2, state-4 respiration before
addition of fatty acid; 3, state-4 respiration after addition
of fatty acid; 4, subsequent state-3 respiration after 200 mkM
ADP addition; 5, subsequent state-4 respiration; and 6, subsequent
state-4 respiration after addition of 1 mkM Catr.
