Skip to main content
GrainGenes
A Database for Triticeae and Avena
Main menu
Home
GrainGenes Tools
Browse GrainGenes
Quick Queries
Advanced Queries
GSP: Genome Specific Primers
PIECE2
BLAST
CMap
Genome Browsers
Query Data Types
Genetic Markers
Sequences
QTLs
Colleagues
Gene Expression
Maps
Resources
Genomics
Germplasm
Mapping
Pathology
Publications
Taxonomy
Links to Related Sites
Collaborations
AgBioData
Agriculture and Agri-Food Canada (AAFC)
Oat Global
The Triticeae Toolbox
USDA-ARS Small Grains Genotyping Labs
U.S. Wheat and Barley Scab Initiative
WheatExp
WheatIS
About
Feedback
*Bookmarks for this page will fail after this session expires. Use the "Save Link" button to create a permanent link
**Eliminate Orphans - Remove comparison maps that don't have correspondences to a reference map.
Map Options
Map Options
Map Set
Add Maps
Left
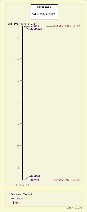
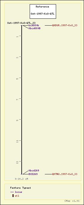
Oat-Oat-1997-KxO-QTL
(Reference Set)
Add Maps
Right
Min.
Correspondences
Align Vertically
Stack
Maps
Oat-1997-KxO-QTL_33
Start
Stop
Magnification
1/8
1/4
1/2
Original
2
3
4
5
10
20
Flipped
hint: To save time, select the desired options before redrawing the map.
(Hide Map Menu)
Feature Options
Feature Options
Highlight Features:
Feature Types:
Feature
Ignore
Display if
Correspondence
Always Display
locus
qtl
Other
Show Labels:
None
Landmarks
All
Collapse Overlapping
Features:
No
Yes
(Hide Feature Menu)
Correspondence Options
Correspondence Options
Include Correspondence Types:
Evidence
Ignore
Use
Less Than
Score
Greater Than
Score
Score
Automated name-based
BLASTN
Aggregate Correspondences:
No
1 Line
2 Lines
Correspondence lines drawn to:
Feature
Map
View Intra-Slot Correspondences:
No
yes
Aggregate evidence types separately:
No
yes
(Hide Correspondence Menu)
Display Options
Display Options
Map Size:
tiny
small
medium
large
Custom
Font Size:
Small
Medium
Large
Image Type:
PNG
JPEG
GIF
SVG *
Clean View (no navigation buttons):
No
Yes
Hide the Legend:
No
Yes
Size of Dot Plot Pixels: 1
1
2
3
4
5
6
7
8
9
10
*
SVG output for high-resolution printing only (no hyperlinks).
(Hide Display Menu)
Advanced Options
Advanced Options
Draw Maps Using
Same Scale:
No
Yes
Clickable Image
Use All
Omit Features
Omit All Buttons
Menu Order of Comparative Maps:
Predefined
Order
Number of
Correspondences
Ignore Image Map
Sanity Check:
No
Yes
(Hide Advanced Menu)
GrainGenes is a product of the
US Department of Agriculture
.